瓦楞纸箱由瓦楞纸板制成,从瓦楞纸板的结构分析,瓦楞纸板有里纸、面纸、楞纸和中纸组成,其中瓦楞纸像骨骼一样起支撑作用,它对强度的影响超过面纸和里纸,因此瓦楞原纸的边压强度(CCT)测试变得非常重要,CCT主要影响瓦楞纸箱的抗压性能。
为进一步提高楞原纸边压强度测试的精准性,不朽情缘电子游戏官网科仪自主研发相匹配的环压取样器以及制样仪器槽纹仪。
一、瓦楞原纸的边压强度(CCT)测试
瓦楞原纸边压强度测试原理:一定规格的试样(152mm×12.7mm)在槽纹仪上起楞后,用试样夹持器固定试样状态,然后放置在压缩仪上进行压缩测试,直到瓦楞被压溃之前,单位长度所能承受的最大压力,单位为千牛每米(kN/m)。
实验设备及实验材料
压缩强度试验仪、环压取样器、槽纹仪和CCT夹持器及瓦楞原纸。
试验过程
1. 试样的采取和处理
按照国标GB/T 450和GB/T 10739进行试样的采取和处理。
2. 取样
用环压取样器准确地切取宽12.7mm±0.1mm,长度152mm±0.5mm的试样,试样数量至少10张,长边为试样的纵向,试样的长边方向平行度在0.01mm以内,且整洁、无缺陷。
3. 参数设置
现将测试模式切换到CCT模式,然后设置测试速度12.5mm/min,压板间距(略高于试样高度12.7mm,例如14~15mm),等待测试。

4. 起楞 制样
启动槽纹仪,当压辊加热到(175±8)℃时,将试样长边垂直插入送料口,使试样起楞,把起楞后的试样放在夹持器中。

5. 测试
测试有两种:起楞后立即测试和温湿度处理30min后测试。

A一测试样品 B一夹持器
5.1 起楞后立即测试。如果试样起楞后立即进行压缩测试,从起楞到施加压力的时间应在20~25s以内,也就是制样好要马上测试,即CCT0。
5.2 温湿度处理30min后测试。如果试样起楞后进行温湿度处理,试样应在温度(23±1)℃、相对湿度(50±2)%环境中处理30~35min,即CCT30。

6. 结果计算
6.1 瓦楞原纸边压强度
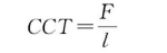
按式(1)计算瓦楞原纸边压强度CCT,结果精确至0.01kN/m。
.................................(1)
式中:
CCT——边压强度,单位为千牛每米(kN/m);
F ——最大压力,单位为牛顿(N);
l ——起楞前试样的长度,单位为毫米(mm)。
为了快速确认检测结果所使用的方法,在多数情况下,可使用以下结果表示方法:
CCT0=x.xx kN/m
CCT30=x.xx kN/m
其中CCT表示边压强度,下标表示温湿度处理的时间,单位为分(min)。
6.2 边压强度指数
按式(2)计算瓦楞原纸边压强度指数Y,单位为牛顿米每克(N·m/g):
.................................(2)
式中:
Y ——边压强度指数,单位为牛顿米每克(N·m/g);
——边压强度的平均值,单位为千牛每米(kN/m);
g ——试样的定量,单位为克每平方米(g/m2)。
